優質的服務流程
· quality of service processes ·

需求溝通傾聽客戶需求,了解用戶使用環境和現場工況
方案設計根據現場實際工況,針對性出具解決方案
合同簽訂技術和商務規范確認,簽訂合作協議
產品制作選擇最優質的元器件,嚴格按照技術協議
調試安裝現場規范安裝,靜態動態調試,分析儀運行
售后服務后續維護,持續跟進,終身維修

全國熱線
銷售熱線
公司地址山東濟南市槐蔭區太平河南路1567號均和云谷濟南匯智港6號樓
一、排氣中水分含量的測定排氣中水分含量應根據不同的測量對象選用冷凝法、干濕球法或重量法中的一種方法測定。
1.冷凝法原理-由煙道中抽取一定體積的排氣使之通過冷凝器,根據冷凝出來的水量,加上從冷凝器排出的飽和氣體含有的水蒸汽量,計算排氣中的水分含量。
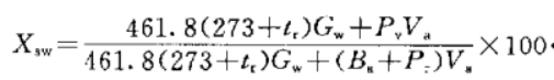
2.冷凝法計算公式

式中:Xsw排氣中的水分含量體積百分數,%;
Ba—大氣壓力,Pa;
Gw—冷凝器中的冷凝水量,g;
Pr—流量計前氣體壓力,Pa;
Pv—冷凝器出口飽和水蒸氣壓力(可根據冷凝器出口氣體溫度從空氣飽和時水蒸氣壓力表
中得)Pa;
tr—流量計前氣體溫度,℃;
Va—測量狀態下抽取煙氣的體積(Va,≈Qr×t),L。
3.干濕球法原理-使氣體在一定的速度下流經干、濕球溫度計。根據干、濕球溫度計的讀數和測點處排氣的壓力,計算出排氣的水分含量。
4.干濕球法計算公式

式中:Xsw—排氣中的水分含量體積百分數,%;
Pbv—溫度為時飽和水蒸氣壓力(根據值,由空氣飽和時水蒸氣壓力表中查得)Pa
tb—濕球溫度,℃;
tc—干球溫度,℃;
Qr—轉子流量計讀數,L/min;
t—采樣時間,min;
Pb—通過濕球溫度計表面的氣體壓力,Pa;
Ba—大氣壓力,Pa;
Ps—測點處排氣靜壓,Pa。
5.重量法原理-由煙道中抽取一定體積的排氣,使之通過裝有吸濕劑的吸濕管,排氣中的水分被吸濕劑吸收,吸濕管的增重即為已知體積排氣中含有的水分量。
6.重量法計算公式

式中:Xsw—排氣中的水分含量體積百分數,%;
Ba—大氣壓力,Pa;
Gm—吸濕管吸收的水分重量,g;
Vd—測量狀態下抽取煙氣的體積(Vd≈Qr×t),單位L。
Qr—轉子流量計讀數,L/min;
t—采樣時間,min;
tr—流量計前氣體溫度,℃;
Pr—流量計前氣體壓力,Pa;
1.24—在標準狀態下,1g水蒸氣所占有的體積,單位L。
二、排氣密度和氣體分子量的計算
1.排氣密度和其分子量、氣溫壓力的關系由下式計算

式中:ρs—排氣的密度,kg/m3;
Ms—排氣氣體的分子量,kg/kmol;
Ba—大氣壓力,Pa;
Ps—排氣的靜壓,Pa;
ts—排氣的溫度,℃。

2.標準狀態下濕排氣的密度按下式計算

式中:ρn—標準狀態下濕排氣的密度,kg/m3
Ms—濕排氣氣體的分子量,kg/kmol;
Mo2,Mco、Mco2、MN2、MH2o—排氣中氧、一氧化碳、二氧化碳、氮氣和水的分子量,kg/kmol;
Xo2、Xco、Xco2、Xn2—干排氣中氧、一氧化碳、二氧化碳、氮氣的體積百分數,%;
Xsw排氣中的水分含量體積百分數,%。
3.測量狀態下煙道內濕排氣的密度按下式計算

式中:ρs—測量狀態下煙道內濕排氣的密度,kg/m3
ρn—標準狀態下濕排氣的密度,kg/m3
Ps—排氣的靜壓,Pa;
Ba—大氣壓力,Pa;
Ps—排氣的靜壓,Pa;
ts—排氣的溫度,℃。
4.排氣氣體分子量的計算
已知各成分氣體的體積百分數X和其分子量M排氣氣體的分子量按下式計算

式中;Ms—排氣氣體的分子量,kg/kmol;
Xi—某一成分氣體的體積百分數,%;
Mi某一成分氣體的分子量,kg/kmol
5.干排氣氣體分子量的計算

6.濕排氣氣體分子量的計算

三、流速測定原理-排氣的流速與其動壓平方根成正比,根據測得某測點處的動壓、靜壓以及溫度等參數。
1.測點排氣流速的計算:

2.當干排氣成分與空氣近似,排氣露點溫度在35~55℃之間、排氣的絕對壓力在97~103kPa之間時,Vs可按下式計算:

3.對于接近常溫、常壓條件下(t=20℃,Bs+Ps=101300Pa),通風管道的空氣流速Va按下式計算:

式中:Vs—濕排氣的氣體流速,m/s;
Va—常溫常壓下通風管道的空氣流速,m/s;
Ba—大氣壓力,Pa;
Kp—皮托管修正系數;
Pd—排氣動壓,Pa;
Ps—排氣靜壓,Pa;
ρs—濕排氣的密度,kg/m;
Ms—濕排氣的分子量,kg/kmol;
ts—排氣溫度,℃。
4.排氣流量的計算:
工況下的濕排氣流量Qs按下式算:

式中:Qs—工況下濕排氣流量,m/h;
F—測定斷面面積,m;
s測定斷面的濕排氣平均流速,m/s。
5.標準狀態下干排氣流量Qsn按下式計算

式中:Qsn—標準狀態下干排氣流量,m/h;
Ba—大氣壓力,Pa;
Ps—排氣靜壓,Pa;
ts—排氣溫度,℃。
Xsw—排氣中的水分含量體積百分數,%。
6.常溫常壓條件下,通風管道中的空氣流量Qa按下式計算:

式中:Qa—通氣管道中的空氣流量,m3/h;

來源:本文中公式均摘選自GBT/16157- 1996

需求溝通傾聽客戶需求,了解用戶使用環境和現場工況
方案設計根據現場實際工況,針對性出具解決方案
合同簽訂技術和商務規范確認,簽訂合作協議
產品制作選擇最優質的元器件,嚴格按照技術協議
調試安裝現場規范安裝,靜態動態調試,分析儀運行
售后服務后續維護,持續跟進,終身維修